A first model
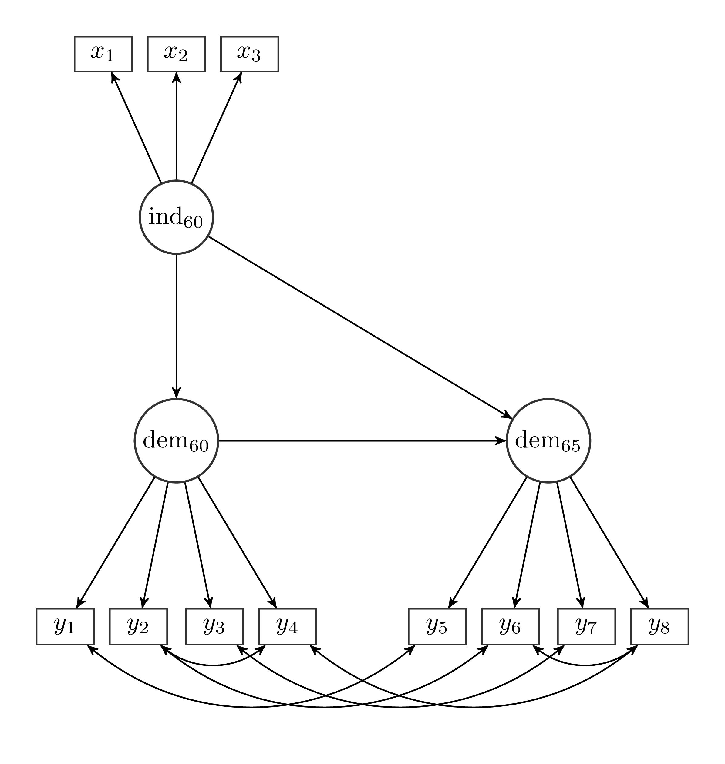
In this tutorial, we will fit an example SEM with our package. The example we are using is from the lavaan tutorial, so it may be familiar. It looks like this:

We assume the StructuralEquationModels package is already installed. To use it in the current session, we run
using StructuralEquationModelsWe then first define the graph of our model in a syntax which is similar to the R-package lavaan:
observed_vars = [:x1, :x2, :x3, :y1, :y2, :y3, :y4, :y5, :y6, :y7, :y8]
latent_vars = [:ind60, :dem60, :dem65]
graph = @StenoGraph begin
# loadings
ind60 → fixed(1)*x1 + x2 + x3
dem60 → fixed(1)*y1 + y2 + y3 + y4
dem65 → fixed(1)*y5 + y6 + y7 + y8
# latent regressions
ind60 → dem60
dem60 → dem65
ind60 → dem65
# variances
_(observed_vars) ↔ _(observed_vars)
_(latent_vars) ↔ _(latent_vars)
# covariances
y1 ↔ y5
y2 ↔ y4 + y6
y3 ↔ y7
y8 ↔ y4 + y6
endWhen executing the code from this tutorial the first time in a fresh julia session, you may wonder that it takes quite some time. This is not because the implementation is slow, but because the functions are compiled the first time you use them. Try rerunning the example a second time - you will see that all function executions after the first one are quite fast.
We then use this graph to define a ParameterTable object
partable = ParameterTable(
latent_vars = latent_vars,
observed_vars = observed_vars,
graph = graph) -------- ---------------- -------- ------- ------------- --------- ------------
from parameter_type to free value_fixed start estimate ⋯
Symbol Symbol Symbol Bool Float64 Float64 Float64 ⋯
-------- ---------------- -------- ------- ------------- --------- ------------
ind60 → x1 false 1.0 0.0 0.0 ⋯
ind60 → x2 true 0.0 0.0 0.0 ⋯
ind60 → x3 true 0.0 0.0 0.0 ⋯
dem60 → y1 false 1.0 0.0 0.0 ⋯
dem60 → y2 true 0.0 0.0 0.0 ⋯
dem60 → y3 true 0.0 0.0 0.0 ⋯
dem60 → y4 true 0.0 0.0 0.0 ⋯
dem65 → y5 false 1.0 0.0 0.0 ⋯
dem65 → y6 true 0.0 0.0 0.0 ⋯
dem65 → y7 true 0.0 0.0 0.0 ⋯
dem65 → y8 true 0.0 0.0 0.0 ⋯
ind60 → dem60 true 0.0 0.0 0.0 ⋯
dem60 → dem65 true 0.0 0.0 0.0 ⋯
ind60 → dem65 true 0.0 0.0 0.0 ⋯
x1 ↔ x1 true 0.0 0.0 0.0 ⋯
⋮ ⋮ ⋮ ⋮ ⋮ ⋮ ⋮ ⋱
-------- ---------------- -------- ------- ------------- --------- ------------
1 column and 19 rows omitted
Latent Variables: [:ind60, :dem60, :dem65]
Observed Variables: [:x1, :x2, :x3, :y1, :y2, :y3, :y4, :y5, :y6, :y7, :y8]
load the example data
data = example_data("political_democracy")and specify our model as
model = Sem(
specification = partable,
data = data
)Structural Equation Model
- Loss Functions
SemML
- Fields
observed: SemObservedData
imply: RAM
optimizer: SemOptimizerOptim
We can now fit the model via
model_fit = sem_fit(model)Fitted Structural Equation Model
===============================================
--------------------- Model -------------------
Structural Equation Model
- Loss Functions
SemML
- Fields
observed: SemObservedData
imply: RAM
optimizer: SemOptimizerOptim
------------- Optimization result -------------
* Status: success
* Candidate solution
Final objective value: 2.120543e+01
* Found with
Algorithm: L-BFGS
* Convergence measures
|x - x'| = 3.95e-05 ≰ 1.5e-08
|x - x'|/|x'| = 5.28e-06 ≰ 0.0e+00
|f(x) - f(x')| = 6.94e-10 ≰ 0.0e+00
|f(x) - f(x')|/|f(x')| = 3.27e-11 ≤ 1.0e-10
|g(x)| = 8.20e-05 ≰ 1.0e-08
* Work counters
Seconds run: 0 (vs limit Inf)
Iterations: 186
f(x) calls: 555
∇f(x) calls: 555
and compute fit measures as
fit_measures(model_fit)Dict{Symbol, Union{Missing, Float64}} with 8 entries:
:minus2ll => 3106.66
:AIC => 3168.66
:BIC => 3240.5
:df => 35.0
:χ² => 37.6169
:p_value => 0.350263
:RMSEA => 0.0315738
:n_par => 31.0We can also get a bit more information about the fitted model via the sem_summary() function:
sem_summary(model_fit)
Fitted Structural Equation Model
--------------------------------- Properties ---------------------------------
Optimization algorithm: L-BFGS
Convergence: true
No. iterations/evaluations: 186
Number of parameters: 31
Number of observations: 75.0
----------------------------------- Model -----------------------------------
Structural Equation Model
- Loss Functions
SemML
- Fields
observed: SemObservedData
imply: RAM
optimizer: SemOptimizerOptimTo investigate the parameter estimates, we can update our partable object to contain the new estimates:
update_estimate!(partable, model_fit) -------- ---------------- -------- ------- ------------- --------- ------------
from parameter_type to free value_fixed start estimate ⋯
Symbol Symbol Symbol Bool Float64 Float64 Float64 ⋯
-------- ---------------- -------- ------- ------------- --------- ------------
ind60 → x1 false 1.0 0.0 0.0 ⋯
ind60 → x2 true 0.0 0.0 2.18035 ⋯
ind60 → x3 true 0.0 0.0 1.8185 ⋯
dem60 → y1 false 1.0 0.0 0.0 ⋯
dem60 → y2 true 0.0 0.0 1.25667 ⋯
dem60 → y3 true 0.0 0.0 1.05767 ⋯
dem60 → y4 true 0.0 0.0 1.26471 ⋯
dem65 → y5 false 1.0 0.0 0.0 ⋯
dem65 → y6 true 0.0 0.0 1.18564 ⋯
dem65 → y7 true 0.0 0.0 1.27944 ⋯
dem65 → y8 true 0.0 0.0 1.2659 ⋯
ind60 → dem60 true 0.0 0.0 1.48312 ⋯
dem60 → dem65 true 0.0 0.0 0.837324 ⋯
ind60 → dem65 true 0.0 0.0 0.572399 ⋯
x1 ↔ x1 true 0.0 0.0 0.0826521 ⋯
⋮ ⋮ ⋮ ⋮ ⋮ ⋮ ⋮ ⋱
-------- ---------------- -------- ------- ------------- --------- ------------
1 column and 19 rows omitted
Latent Variables: [:ind60, :dem60, :dem65]
Observed Variables: [:x1, :x2, :x3, :y1, :y2, :y3, :y4, :y5, :y6, :y7, :y8]
and investigate the solution with
sem_summary(partable)
--------------------------------- Variables ---------------------------------
Latent variables: ind60 dem60 dem65
Observed variables: x1 x2 x3 y1 y2 y3 y4 y5 y6 y7 y8
---------------------------- Parameter Estimates -----------------------------
Loadings:
ind60
to estimate identifier value_fixed start free from type
x1 0.0 const 1.0 0.0 0.0 ind60 →
x2 2.18 θ_1 0.0 0.0 1.0 ind60 →
x3 1.82 θ_2 0.0 0.0 1.0 ind60 →
dem60
to estimate identifier value_fixed start free from type
y1 0.0 const 1.0 0.0 0.0 dem60 →
y2 1.26 θ_3 0.0 0.0 1.0 dem60 →
y3 1.06 θ_4 0.0 0.0 1.0 dem60 →
y4 1.26 θ_5 0.0 0.0 1.0 dem60 →
dem65
to estimate identifier value_fixed start free from type
y5 0.0 const 1.0 0.0 0.0 dem65 →
y6 1.19 θ_6 0.0 0.0 1.0 dem65 →
y7 1.28 θ_7 0.0 0.0 1.0 dem65 →
y8 1.27 θ_8 0.0 0.0 1.0 dem65 →
Directed Effects:
from to estimate identifier value_fixed start free
ind60 → dem60 1.48 θ_9 0.0 0.0 1.0
dem60 → dem65 0.84 θ_10 0.0 0.0 1.0
ind60 → dem65 0.57 θ_11 0.0 0.0 1.0
Variances:
from to estimate identifier value_fixed start free
x1 ↔ x1 0.08 θ_12 0.0 0.0 1.0
x2 ↔ x2 0.12 θ_13 0.0 0.0 1.0
x3 ↔ x3 0.47 θ_14 0.0 0.0 1.0
y1 ↔ y1 1.92 θ_15 0.0 0.0 1.0
y2 ↔ y2 7.47 θ_16 0.0 0.0 1.0
y3 ↔ y3 5.14 θ_17 0.0 0.0 1.0
y4 ↔ y4 3.19 θ_18 0.0 0.0 1.0
y5 ↔ y5 2.38 θ_19 0.0 0.0 1.0
y6 ↔ y6 5.02 θ_20 0.0 0.0 1.0
y7 ↔ y7 3.48 θ_21 0.0 0.0 1.0
y8 ↔ y8 3.3 θ_22 0.0 0.0 1.0
ind60 ↔ ind60 0.45 θ_23 0.0 0.0 1.0
dem60 ↔ dem60 4.01 θ_24 0.0 0.0 1.0
dem65 ↔ dem65 0.17 θ_25 0.0 0.0 1.0
Covariances:
from to estimate identifier value_fixed start free
y1 ↔ y5 0.63 θ_26 0.0 0.0 1.0
y2 ↔ y4 1.33 θ_27 0.0 0.0 1.0
y2 ↔ y6 2.18 θ_28 0.0 0.0 1.0
y3 ↔ y7 0.81 θ_29 0.0 0.0 1.0
y8 ↔ y4 0.35 θ_30 0.0 0.0 1.0
y8 ↔ y6 1.37 θ_31 0.0 0.0 1.0Congratulations, you fitted and inspected your very first model! We recommend continuing with Our Concept of a Structural Equation Model.