A first model
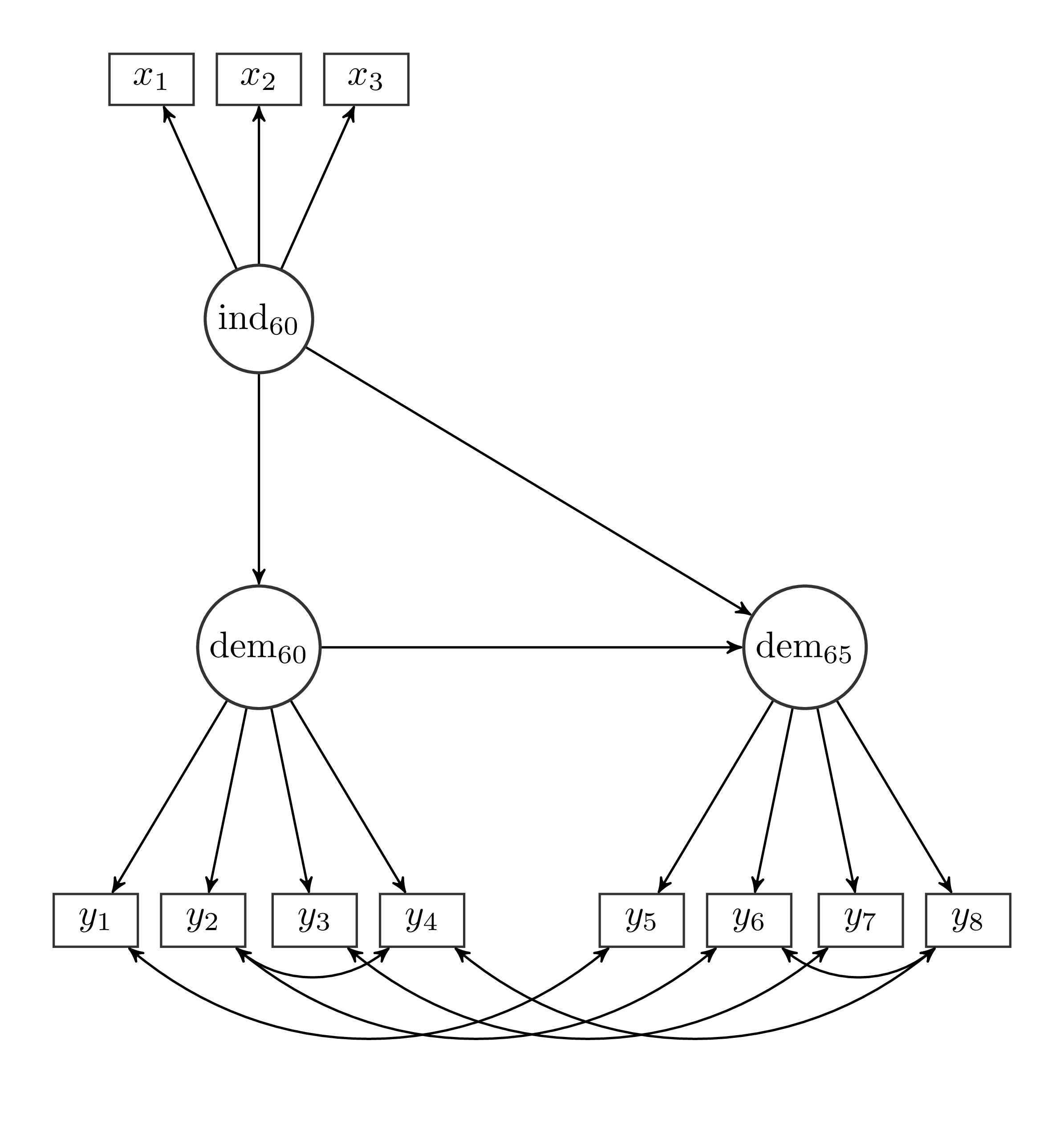
In this tutorial, we will fit an example SEM with our package. The example we are using is from the lavaan tutorial, so it may be familiar. It looks like this:

We assume the StructuralEquationModels package is already installed. To use it in the current session, we run
using StructuralEquationModelsWe then first define the graph of our model in a syntax which is similar to the R-package lavaan:
obs_vars = [:x1, :x2, :x3, :y1, :y2, :y3, :y4, :y5, :y6, :y7, :y8]
lat_vars = [:ind60, :dem60, :dem65]
graph = @StenoGraph begin
# loadings
ind60 → fixed(1)*x1 + x2 + x3
dem60 → fixed(1)*y1 + y2 + y3 + y4
dem65 → fixed(1)*y5 + y6 + y7 + y8
# latent regressions
ind60 → dem60
dem60 → dem65
ind60 → dem65
# variances
_(obs_vars) ↔ _(obs_vars)
_(lat_vars) ↔ _(lat_vars)
# covariances
y1 ↔ y5
y2 ↔ y4 + y6
y3 ↔ y7
y8 ↔ y4 + y6
endWhen executing the code from this tutorial the first time in a fresh julia session, you may wonder that it takes quite some time. This is not because the implementation is slow, but because the functions are compiled the first time you use them. Try rerunning the example a second time - you will see that all function executions after the first one are quite fast.
We then use this graph to define a ParameterTable object
partable = ParameterTable(
graph,
latent_vars = lat_vars,
observed_vars = obs_vars) -------- ---------- -------- ------- ------------- --------- ---------- -------
from relation to free value_fixed start estimate lab ⋯
Symbol Symbol Symbol Bool Float64 Float64 Float64 Symb ⋯
-------- ---------- -------- ------- ------------- --------- ---------- -------
ind60 → x1 false 1.0 con ⋯
ind60 → x2 true θ ⋯
ind60 → x3 true θ ⋯
dem60 → y1 false 1.0 con ⋯
dem60 → y2 true θ ⋯
dem60 → y3 true θ ⋯
dem60 → y4 true θ ⋯
dem65 → y5 false 1.0 con ⋯
dem65 → y6 true θ ⋯
dem65 → y7 true θ ⋯
dem65 → y8 true θ ⋯
ind60 → dem60 true θ ⋯
dem60 → dem65 true θ_ ⋯
ind60 → dem65 true θ_ ⋯
x1 ↔ x1 true θ_ ⋯
⋮ ⋮ ⋮ ⋮ ⋮ ⋮ ⋮ ⋮ ⋱
-------- ---------- -------- ------- ------------- --------- ---------- -------
1 column and 19 rows omitted
Latent Variables: [:ind60, :dem60, :dem65]
Observed Variables: [:x1, :x2, :x3, :y1, :y2, :y3, :y4, :y5, :y6, :y7, :y8]
load the example data
data = example_data("political_democracy")and specify our model as
model = Sem(
specification = partable,
data = data
)Structural Equation Model
- Loss Functions
SemML
- Fields
observed: SemObservedData
implied: RAM
We can now fit the model via
model_fit = fit(model)Fitted Structural Equation Model
===============================================
--------------------- Model -------------------
Structural Equation Model
- Loss Functions
SemML
- Fields
observed: SemObservedData
implied: RAM
------------- Optimization result -------------
engine: Optim
StructuralEquationModels.SemOptimResult{StructuralEquationModels.SemOptimizerOptim{Optim.LBFGS{Nothing, LineSearches.InitialStatic{Float64}, LineSearches.HagerZhang{Float64, Base.RefValue{Bool}}, Returns{Nothing}}, Optim.Options{Float64, Nothing}}}(SemOptimizerOptim
algorithm: Optim.LBFGS{Nothing, LineSearches.InitialStatic{Float64}, LineSearches.HagerZhang{Float64, Base.RefValue{Bool}}, Returns{Nothing}}
options: Optim.Options{Float64, Nothing}
, * Status: success
* Candidate solution
Final objective value: 2.120543e+01
* Found with
Algorithm: L-BFGS
* Convergence measures
|x - x'| = 6.67e-05 ≰ 1.5e-08
|x - x'|/|x'| = 8.93e-06 ≰ 0.0e+00
|f(x) - f(x')| = 1.14e-09 ≰ 0.0e+00
|f(x) - f(x')|/|f(x')| = 5.39e-11 ≤ 1.0e-10
|g(x)| = 1.36e-04 ≰ 1.0e-08
* Work counters
Seconds run: 0 (vs limit Inf)
Iterations: 127
f(x) calls: 387
∇f(x) calls: 387
)and compute fit measures as
fit_measures(model_fit)Dict{Symbol, Union{Missing, Float64}} with 8 entries:
:minus2ll => 3106.66
:AIC => 3168.66
:BIC => 3240.5
:χ² => 37.6169
:dof => 35.0
:p_value => 0.350262
:nparams => 31.0
:RMSEA => 0.0315739We can also get a bit more information about the fitted model via the details() function:
details(model_fit)
Fitted Structural Equation Model
--------------------------------- Properties ---------------------------------
Optimization engine: Optim
Optimization algorithm: L-BFGS
Convergence: true
No. iterations/evaluations: 127
Number of parameters: 31
Number of data samples: 75
----------------------------------- Model ------------------------------------
Structural Equation Model
- Loss Functions
SemML
- Fields
observed: SemObservedData
implied: RAMTo investigate the parameter estimates, we can update our partable object to contain the new estimates:
update_estimate!(partable, model_fit) -------- ---------- -------- ------- ------------- --------- ----------- ------
from relation to free value_fixed start estimate la ⋯
Symbol Symbol Symbol Bool Float64 Float64 Float64 Sym ⋯
-------- ---------- -------- ------- ------------- --------- ----------- ------
ind60 → x1 false 1.0 1.0 co ⋯
ind60 → x2 true 2.18036 ⋯
ind60 → x3 true 1.81849 ⋯
dem60 → y1 false 1.0 1.0 co ⋯
dem60 → y2 true 1.25683 ⋯
dem60 → y3 true 1.0577 ⋯
dem60 → y4 true 1.26484 ⋯
dem65 → y5 false 1.0 1.0 co ⋯
dem65 → y6 true 1.18573 ⋯
dem65 → y7 true 1.27947 ⋯
dem65 → y8 true 1.26596 ⋯
ind60 → dem60 true 1.48315 ⋯
dem60 → dem65 true 0.837368 θ ⋯
ind60 → dem65 true 0.572317 θ ⋯
x1 ↔ x1 true 0.0826479 θ ⋯
⋮ ⋮ ⋮ ⋮ ⋮ ⋮ ⋮ ⋮ ⋱
-------- ---------- -------- ------- ------------- --------- ----------- ------
1 column and 19 rows omitted
Latent Variables: [:ind60, :dem60, :dem65]
Observed Variables: [:x1, :x2, :x3, :y1, :y2, :y3, :y4, :y5, :y6, :y7, :y8]
and investigate the solution with
details(partable)
---------------------------------- Variables ---------------------------------
Latent variables: ind60 dem60 dem65
Observed variables: x1 x2 x3 y1 y2 y3 y4 y5 y6 y7 y8
---------------------------- Parameter Estimates -----------------------------
Loadings:
ind60
to estimate value_fixed start free from label relation
x1 1.0 1.0 0.0 ind60 const →
x2 2.18 1.0 ind60 θ_1 →
x3 1.82 1.0 ind60 θ_2 →
dem60
to estimate value_fixed start free from label relation
y1 1.0 1.0 0.0 dem60 const →
y2 1.26 1.0 dem60 θ_3 →
y3 1.06 1.0 dem60 θ_4 →
y4 1.26 1.0 dem60 θ_5 →
dem65
to estimate value_fixed start free from label relation
y5 1.0 1.0 0.0 dem65 const →
y6 1.19 1.0 dem65 θ_6 →
y7 1.28 1.0 dem65 θ_7 →
y8 1.27 1.0 dem65 θ_8 →
Directed Effects:
from to estimate value_fixed start free label
ind60 → dem60 1.48 1.0 θ_9
dem60 → dem65 0.84 1.0 θ_10
ind60 → dem65 0.57 1.0 θ_11
Variances:
from to estimate value_fixed start free label
x1 ↔ x1 0.08 1.0 θ_12
x2 ↔ x2 0.12 1.0 θ_13
x3 ↔ x3 0.47 1.0 θ_14
y1 ↔ y1 1.92 1.0 θ_15
y2 ↔ y2 7.47 1.0 θ_16
y3 ↔ y3 5.14 1.0 θ_17
y4 ↔ y4 3.19 1.0 θ_18
y5 ↔ y5 2.38 1.0 θ_19
y6 ↔ y6 5.02 1.0 θ_20
y7 ↔ y7 3.48 1.0 θ_21
y8 ↔ y8 3.3 1.0 θ_22
ind60 ↔ ind60 0.45 1.0 θ_23
dem60 ↔ dem60 4.01 1.0 θ_24
dem65 ↔ dem65 0.17 1.0 θ_25
Covariances:
from to estimate value_fixed start free label
y1 ↔ y5 0.63 1.0 θ_26
y2 ↔ y4 1.33 1.0 θ_27
y2 ↔ y6 2.18 1.0 θ_28
y3 ↔ y7 0.81 1.0 θ_29
y8 ↔ y4 0.35 1.0 θ_30
y8 ↔ y6 1.37 1.0 θ_31Congratulations, you fitted and inspected your very first model! We recommend continuing with Our Concept of a Structural Equation Model.